咨询电话
15058702317
网站首页
关于我们
产品展示
QJB潜 ...
离心泵 ...
自吸泵 ...
控制系统 ...
循环泵 ...
成套供水 ...
排污泵 ...
成功案例
新闻资讯
荣誉资质
留言反馈
联系我们
关于我们
> QJB潜水搅拌机
> 离心泵
> 自吸泵
> 控制系统
> 循环泵
> 成套供水设备
> 排污泵
> 消防泵
联系我们
15058702317
邮箱:
电话:
15058702317
传真:
手机:
15167460024
地址:
浙江省温州市永嘉县江北街道白水工业区
产品展示
当前位置:
首页
>
产品展示
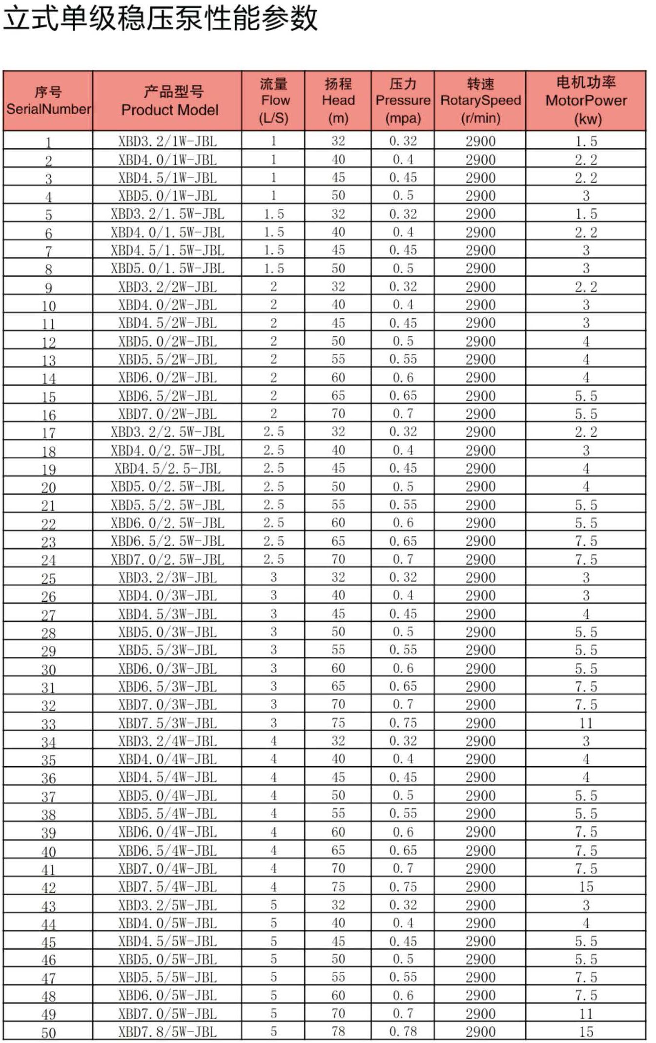
立式单级稳压泵
上一条:
立式多级消防泵组
下一条:
立式单级消防泵组
[返回列表]